PhD: Scalable Agent-based HPC Simulation
2018-23
Genre
Research / Simulation
My Role
PhD Researcher (2018-2023)
Tech Stack
C++ F90 MPI HPC
About The Research
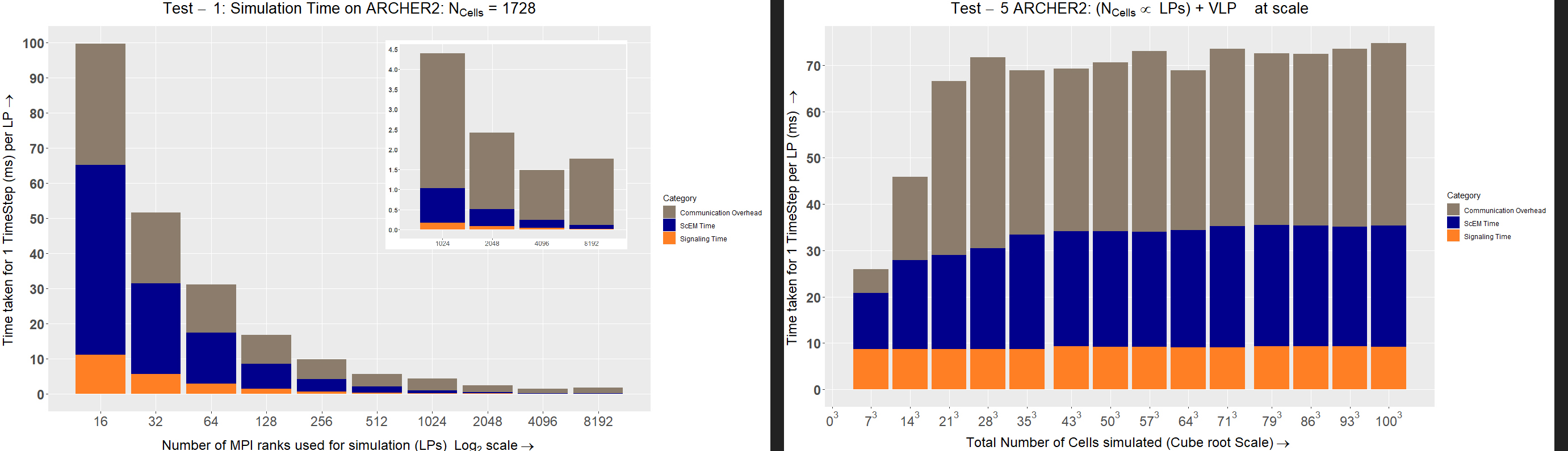
My PhD thesis, "Scalable Agent-based HPC Simulation of Cell Physics and Signalling," addresses a critical challenge in computational biology: the lack of real-time, interactive tools for studying complex tumor dynamics. The goal was to build a "virtual laboratory"—a 4D simulation capable of modelling millions of cancer cells with high fidelity, allowing researchers to observe and interact with emergent behaviours as they happen.
Key Innovations & Novelty
This work pushes the boundaries of High-Performance Computing (HPC) in three key areas:
- Multi-scale Coupling: I successfully integrated a cell physics model with a biochemical signalling model. This "physi-chemical" coupling provides a more complete view of how physical forces and chemical signals drive tumor growth.
- Optimistic and Conservative Synchronization: To achieve scale, I utilized optimistic synchronization (Time Warp) for managing simulation state. This allows the simulation to scale efficiently across distributed HPC environments (like ARCHER2) without being bogged down by constant synchronization, maintaining both speed and deterministic accuracy.
- Real-time Visualization: Unlike traditional simulations that run as "black boxes" for days, my framework supports real-time visualization and steering. Researchers can inject drugs or modify parameters on the fly, dramatically speeding up the hypothesis-testing cycle.
Funding: Generously funded by the Northwood Trust.
A Transformative Journey
My path to this PhD was a journey of evolving passion. Starting as a Master's student in Games Development at Abertay, I was captivated by the potential of game technology to solve serious scientific problems. This curiosity led me to pursue a PhD.
Midway through my research, in 2020, I was appointed as a full-time Lecturer. Balancing the rigorous demands of doctoral research with the responsibilities of teaching was a profound challenge that transformed my professional character. It forged a deep resilience, mastered my time-management, and allowed me to bring cutting-edge research directly into the classroom, bridging the gap between theory and practice for my students.
Recognition & Publications
The impact of this work has been recognized globally:
- AAAS (Washington DC): Selected to represent UKRI and present my findings at the world's largest general scientific society.
- IGDA Scholar (GDC San Francisco): Honored as a scholar by the International Game Developers Association.
Key Outputs
- Merchant, N., Sampson, A.T., Boiko, A. and Falconer, R.E. (2023) 'Dense agent-based HPC simulation of cell physics and signaling with real-time user interactions', Frontiers in Computer Science, 5. Available at: https://doi.org/10.3389/fcomp.2023.1085867
- Merchant, N., Sampson, A.T. and Falconer, R.E. (2023) Scalable agent-based HPC Simulation of up to a million Physics and Signalling Cells [Dataset]. Abertay University. Available at: https://doi.org/10.57995/y0pq-s481
- Merchant, N. (2023) Scalable Agent-based HPC Simulation of Cell Physics and Signalling. PhD Thesis. Abertay University. Available at: https://rke.abertay.ac.uk/en/studentTheses/scalable-agent-based-hpc-simulation-of-cell-physics-and-signallin/
Read more about my journey in the Abertay Alumni Spotlight.